
圖:2011——2018年光伏組件、逆變器的價格變化趨勢
有人不禁要問,在鋼材、電纜等成本不斷上升的情況下,光伏系統成本未來有多大的下降空間?
在目前4.5元/W的水平下,光伏系統成本的絕對值下降空間不大,但仍有一定幅度的下降空間;同時,未來光伏要實現平價上網,更多要依靠技術進步實現發電小時數大幅提高,從而實現度電成本下降。
一、光伏組件成本的下降空間
光伏制造業是一個技術迭代非常快的行業。一個先進技術、先進設備可能三年后就會成為落后產能被淘汰;舊產線會被產出品質量更好、價格大幅下降的新產線所替代。近期來看,未來光伏組件的成本下降主要來源于三個方面:
1、硅料成本的下降
由于國內硅料企業的設備、能源價格不斷降低,自動化水平大幅提高,不同階段投產的硅料成本差異很大。未來,隨著技術進步,硅料價格仍然存在一定的下降空間。
2、切割技術帶來的薄片化
從2017年到2018年,全行業完成了砂漿切割到金剛線切割的技術改造升級。隨著金剛線越來越細,薄片化成為一種趨勢。2016年,主流硅片的厚度還是200μm以上,目前180μm才是主流,160μm 、甚至150μm也開始出現在市場。硅片薄片化直接促使單位千克硅料的出片量增加,從而帶來硅片價格的下降。
3、高轉換效率帶來的分攤降低
在領跑者的推動下,電池片、組件封裝環節的新技術層出不窮,PERC、SE、MBB、半片、疊瓦、雙面等等,組件的轉換效率提升速度大幅增加!這必然會攤低光伏組件的封裝成本。
綜上所述,基于各環節最先進的技術水平下,組件的價格未來還有一定的下降空間。
二、光伏系統成本的下降空間
除了光伏組件的自身成本之外,得益于設計水平的提高、高效組件的應用,光伏系統成本也出現較大幅度的下降。
1、優化系統設計將成為降低成本的主要方向
近幾年,光伏電站的設計水平得到了較大的提高,比較明顯的設計技術改進包括:
1)單個發電單元規模的增加
早期的光伏電站,都是按照單個發電單元1MWp的規模進行設計。最近兩年,單個發電單元已經提高到1.25MWp的規模;在一些應用1500V系統的場景下,設置提高到2.5MWp的規模。單個發電單元規模的提高,在一定程度上減少了工程量,從而降低項目的造價。
2)超配設計逐漸被廣泛應用
早期的光伏組件:逆變器的容配比都是按照1:1進行設計,造成逆變器大部分時間無法滿載工作,利用率低。
目前,很多項目在設計中采用了超配的設計理念,在I、II類資源區至少1.1以上,III IV類地區甚至到1.2以上,提高逆變器、箱變等交流系統利用率;從而實現單瓦造價降低的目標。
3)陣列間距和傾角的優化設計
與傳統的人工計算相比,目前智能化的設計軟件得到廣泛的使用。因此,各種線纜、鋼材的使用量得到更加準確的計算,減少了冗余量,從而節省了輔材的成本。
同時,在土地成本占比日益增加的情況下,與傳統最佳傾角的設計理念不同,現在的電站設計方案中, 更多的采用了“ 最優經濟間距和傾角”設計理念,
超配設計:I II類資源區至少1.2以上,IIIIV類地區至少1.4以上,最大化的節省土地、線纜成本。
2、高效組件促使BOS成本降低
相同規模的光伏電站,采用高效組件與采用低效組件相比,除組件、逆變器、變壓器等按容量計算的設備之外的所有設備(包括匯流箱、交直流電纜、支架、基礎、橋架、監控和通信等)的用量是一樣的;施工(道路、電纜溝開挖等)的工程量是一樣的。
如果將組件、逆變器、變壓器之外的其他設備成本、施工成本稱作BOS成本的話,則組件效率越高、單瓦的BOS成本會越低;而且,由于土地組件(屋頂租金)越高、施工難度越大的地方,BOS成本越高,所以采用高效組件優勢越明顯。
三、光伏度電成本的下降空間
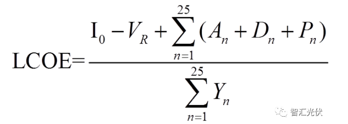
如前文所言,目前光伏系統成本價格已經很低,成本絕對值的下降空間不大;但實現平價上網,根本是要降低度電成本。下圖為度電成本的計算公式。

其中,
I0 :項目初始投資,VR:固定資產殘值,An:第n年的運營成本,
Dn:第n年的折舊,Pn:第n年的利息,Yn:第n年的發電量
隨著技術的進步,電站的發電小時數提升潛力非常大,可以大幅降低度電成本。
1、系統效率的提高
早期的光伏電站系統效率在78%左右。
得益于設計優化、施工質量和設備質量的提高、高效組件應用減少線損的提高等諸多因素,新建電站基本都可以達到81%以上的系統效率;相當于發電量提高3.8%以上,即度電成本降低3.8%以上。
2、跟蹤技術的應用
與傳統固定式相比,在不同地點,采用固定可調、平單軸跟蹤分別能提高5%左右、10%——15%的發電量。而且,目前固定可調、平單軸跟蹤技術已經十分成熟。發電量提高10%,度電成本可以下降約11%。
因此,采用先進的安裝方式,可以實現發電量的提高從而降低度電成本。第三批領跑者中,就大量項目采用了固定可調、平單軸跟蹤技術。
3、雙面組件的應用
在不同工況下,雙面組件的背面能實現正面10——20%的發電量,相當于將組件的綜合轉換效率提高了10——20%。由于目前都采用組件和逆變器的容配比都采用1.1以上。雙面組件的應用,能提高逆變器等交流系統的利用率,同時大幅降低BOS成本。
綜上所述,得益于系統效率提升、跟蹤技術和雙面組件的應用,在不同的工況下,新建電站相對于早期電站能夠提高20%左右的發電量,使項目的度電成本降低20%左右。
四、結束語
通過上述分析可以看出,
由于上游各制造環節技術水平的提升,組件未來還有一定的下降空間。
通過對光伏電站的設計進行優化,采用高效組件,可以促使BOS成本的降低。
得益于系統效率提升、跟蹤技術和雙面組件的應用,在不同的工況下,新建電站相對于早期電站能夠提高20%左右的發電量,從而降低項目的度電成本。





