系統效率的變化影響因素

上圖為一個光伏電站一天中不同時間點的系統效率變化曲線,其中其每個點的計算周期為15分鐘。由圖可見光伏電站的系統效率在一天中的任何一個時間都是不同的,而影響其以上變化的主要原因,除大家都知道的輻照度的變化,與此同時特定時斷的環境溫度及風速的不同也將導致系統效率的變化。但是到底溫度及風速對系統效率的影響有多少?

上表中,明確介紹了,保持系統及其他環境因素不變,只對平均環境溫度和風速進行了調整后的模擬系統效率結果差異,其中,年平均溫度提高3℃,系統效率對應下降0.9%;年平均風速提到3米/秒,系統效率上升1.7%。因此,從如上模擬結果可以看出,風速及溫度對最終系統效率的結果有非常大的影響。
現有方法局限性
在導讀中已經給大家介紹,IEC61724中對系統效率進行了定義,標準中對一般性長期評估的系統效率測試方法及短期方法進行了介紹,本文中簡單羅列如下:

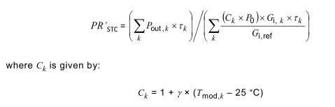
以上公式為基本的系統效率計算公式,即光伏電站的實際交流測的輸出電量比上光伏組件平面所接收到的輻射量。此方法用于一般性長期評估。

同時,以上公式是進行了組件溫度修正后的公式,即除去了環境溫度對于系統效率的影響。此方法多用于短期評估,減少由于季節性差異導致的系統效率差異,而其中主要考慮了環境溫度的影響。
以上兩種方法被大家廣泛的使用,但其中存在的問題,如本文開篇介紹的,影響光伏電站系統效率的因素中除了環境溫度外,還有風速的影響,本方法中缺少了對風速這一個部分的考量。
理論方法
如何能夠減少環境溫度及風速帶來的對于系統效率結果客觀評定的影響?
以下部分將針對具體的理論方法進行簡單介紹。
項目的環境溫度和風速基于不同電站位置及電站設計均存在差異,即以上兩個變量構成了光伏電站的特殊屬性。因而為了客觀準確表征光伏電站性能,比較或考量系統性能,需要將此特殊屬性的影響排除掉。
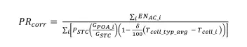
環境溫度和風速對于系統效率的影響,主要表現在其對電池片工作溫度的影響。因此本文介紹的理論方法即為對于電池片工作溫度修正的方法。

以上公式中,可以注意到其主要差異點在于分母中,使用了組件電池片工作溫度,其中包含測試期內電池片溫度及全年電池片平均工作溫度,而非此前的組件溫度。此電池片工作溫度主要是通過理論計算的方式獲得,其計算過程中涉及了溫度及風速的考量,具體計算方法將在此后的推文中進行介紹。
評估結果分析

上圖為一系統的系統效率變化情況,以各月為單位,藍色點為無修正全年的系統效率變化,而紅色點為經過以上方法修正后的系統效率。可以注意到,藍色點各季節存在超過10%的差異,而除去影響后其各月影響在一個相對平穩的狀態。如此圖無法看出其修正后的影響,可以參見下圖。
上圖為此系統的系統效率變化情況,以各小時為單位。此圖可以看出,修正后的系統效率徹底的解決了環境溫度和風速的影響,其系統效率非常穩定。
本文介紹了環境溫度及風速對于系統效率的影響及通過的方式進行修正后的系統效率對比,其主要目的在于能夠通過技術的方法,更準確的評價光伏電站系統效率,為并購方及電站持有方準確獲得系統性能指標提供支持。





